Преобразование систем круговой интерполяции

Общие вопросы станкостроения и организиции труда.
RunetX
Новичок
Сообщения: 2
Зарегистрирован: 01 май 2015, 18:20
Репутация: 2
Контактная информация:

Преобразование систем круговой интерполяции

Сообщение RunetX »

Господа, здравствуйте.
6-3_2.jpg
6-3_2.jpg (8.2 КБ) 1733 просмотра
Предыстория. У нас запустили старый станок, который принимает команды G02 и G03 только по смещению центра относительно начальной точки. Наладчики же привыкли задавать по точкам и радиусу.

Стыдно признаться, но не могу преобразовать круговую интерполяцию по двум точкам и радиусу к двум точкам и смещению центра относительно первой (обратное преобразование происходит элементарно по теореме Пифагора). Пробовал вспомнить школьный курс тригонометрии, но ничего не выходит.

Подтолкните, пожалуйста, в нужном направлении.
RunetX
Новичок
Сообщения: 2
Зарегистрирован: 01 май 2015, 18:20
Репутация: 2
Контактная информация:

Re: Преобразование систем круговой интерполяции

Сообщение RunetX »

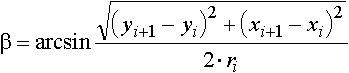
Всем спасибо за внимание. Ответ найден!
KaO_Zce.gif
KaO_Zce.gif (410 байт) 1717 просмотров
KaO_Zce1.gif
KaO_Zce1.gif (419 байт) 1717 просмотров
KaO_Zce2.gif
KaO_Zce2.gif (468 байт) 1717 просмотров
KaO_Zce3.gif
KaO_Zce3.gif (923 байт) 1717 просмотров
где xi, yi, xi+1, yi+1 - координаты точки поверхности в начале и в конце участка; ri - радиус кривизны.
Ответить

Вернуться в «Общие вопросы»