Выбор серв

Шаговые и серво двигатели, шпиндели, инверторы.
Аватара пользователя
Hanter
Мастер
Сообщения: 5414
Зарегистрирован: 27 янв 2012, 14:52
Репутация: 4338
Настоящее имя: Алексей
Откуда: Питер
Контактная информация:

Re: Выбор серв

Сообщение Hanter »

Duhas писал(а):товарищ sidor094 по своему прав, а я приводя пример с тем что будет разгонять в 2 раза быстрее - видимо таки нет )
не... разгонять он в два раза быстрее не будет. тут я согласный. но вот нагрузка приведенная к мотору будет реально ниже - это тоже очевидно.
Вообще мы по моему несколько не корректно рассматриваем ситуацию. динамика сервомотора в любом случае выше чем динамика оси станка.
редукция позволяет поднять динамику разгона-торможения. но не максимальную скорость.
Опыт - это когда на смену вопросам: "Что? Где? Когда? Как? Почему?" Приходит единственный вопрос: "Нахрена?"
==========================================
фрезерная и токарная обработка на станках с чпу.
Резка, гибка, сварка и порошковая окраса.
Duhas
Мастер
Сообщения: 1961
Зарегистрирован: 10 окт 2015, 23:25
Репутация: 285
Настоящее имя: Андрей
Откуда: Красноярск
Контактная информация:

Re: Выбор серв

Сообщение Duhas »

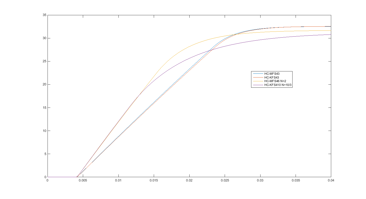
в целом - да, я позже постараюсь сделать семейства графиков для разных моментов инерции нагрузки и разных заданий, а также в разных конфигурациях.

по идее для каждого мотора надо будет отстроить регуляторы на идентичный переходный процесс и смотреть результаты.

Вот те же митсы с еще увеличенным моментом инерции нагрузки, и мне кажется что регуляторами можно их дотянуть, чтобы ближе к заданию они шли не так плавно как сейчас.
Reduction_4xJ_load.png (1768 просмотров) <a class='original' href='./download/file.php?id=102784&mode=view' target=_blank>Загрузить оригинал (20.87 КБ)</a>
Ответить

Вернуться в «Двигатели и шпиндели»