Мини токарный станок с ЧПУ
-
АндрейА
- Кандидат
- Сообщения: 86
- Зарегистрирован: 10 апр 2016, 23:01
- Репутация: 11
- Настоящее имя: Андрей
- Контактная информация:
Re: Мини токарный станок с ЧПУ
Всем привет.
Нужна помощь:
есть формула
как привести к виду L=...................
Нужна помощь:
есть формула
как привести к виду L=...................
- Вложения
-
- Как как привести к L=.........................
- height_segment_circle_formula3.png (5.53 КБ) 4142 просмотра
-
Chili
- Мастер
- Сообщения: 1277
- Зарегистрирован: 07 окт 2015, 21:38
- Репутация: 1074
- Настоящее имя: Эдуард Чилиджян
- Откуда: Таганрог
- Контактная информация:
Re: Мини токарный станок с ЧПУ
L= корень из 8HR - 4R* (* - квадрат) поправил, больше не буду править вместо четыре эр квадрат нужно писать четыре аш квадрат
Последний раз редактировалось Chili 08 дек 2017, 21:36, всего редактировалось 2 раза.
-
АндрейА
- Кандидат
- Сообщения: 86
- Зарегистрирован: 10 апр 2016, 23:01
- Репутация: 11
- Настоящее имя: Андрей
- Контактная информация:
Re: Мини токарный станок с ЧПУ
Я правильно привел ?
h=R-√(R²-L²/4)
√(R²-L²/4)=R-h
R²-L²/4=(R-h)²
L²/4=R²-(R-h)²
L²=(R²-(R-h)²)/4
L=√((R²-(R-h)²)/4)
Спасибо.
h=R-√(R²-L²/4)
√(R²-L²/4)=R-h
R²-L²/4=(R-h)²
L²/4=R²-(R-h)²
L²=(R²-(R-h)²)/4
L=√((R²-(R-h)²)/4)
Спасибо.
-
АндрейА
- Кандидат
- Сообщения: 86
- Зарегистрирован: 10 апр 2016, 23:01
- Репутация: 11
- Настоящее имя: Андрей
- Контактная информация:
Re: Мини токарный станок с ЧПУ
Здравствуйте.Chili писал(а):H = корень из 8HR - 4R* (* - квадрат)
А как вы приводили ?
-
АндрейА
- Кандидат
- Сообщения: 86
- Зарегистрирован: 10 апр 2016, 23:01
- Репутация: 11
- Настоящее имя: Андрей
- Контактная информация:
Re: Мини токарный станок с ЧПУ
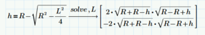
Поясню
h - высота сегмента ABC
L - хорда AC
R - радиус кружности
O - центр окружности
α - центральный угол AOC
h - высота сегмента ABC
L - хорда AC
R - радиус кружности
O - центр окружности
α - центральный угол AOC
- Вложения
-
- height_segment_circle.png (10.91 КБ) 4120 просмотров
-
nkp
- Мастер
- Сообщения: 8340
- Зарегистрирован: 28 ноя 2011, 00:25
- Репутация: 1589
- Контактная информация:
Re: Мини токарный станок с ЧПУ
наверно:Chili писал(а):H = корень из 8HR - 4R* (* - квадрат)
L= корень из 8hR - 4h* (* - квадрат)
-
netraider
- Мастер
- Сообщения: 209
- Зарегистрирован: 23 май 2015, 10:47
- Репутация: 49
- Настоящее имя: Юрий
- Откуда: Москва
- Контактная информация:
Re: Мини токарный станок с ЧПУ
L=2*√((R²-(R-h)²)АндрейА писал(а):Я правильно привел ?
h=R-√(R²-L²/4)
√(R²-L²/4)=R-h
R²-L²/4=(R-h)²
L²/4=R²-(R-h)²
L²=(R²-(R-h)²)/4 <- здесь не делить на 4 надо, а умножать
Или скобки рскрыть, двойку под корень утащить - получится как у nkp
--
At the nanometer level, the world is made of rubber (с)
At the nanometer level, the world is made of rubber (с)
-
Chili
- Мастер
- Сообщения: 1277
- Зарегистрирован: 07 окт 2015, 21:38
- Репутация: 1074
- Настоящее имя: Эдуард Чилиджян
- Откуда: Таганрог
- Контактная информация:
Re: Мини токарный станок с ЧПУ
ну как вывел
в школе как учил математику так и вывел
если есть ошибка ,то исправят...кто нибудь. У NSK правильно ,сейчас проверил у себя в выводах - простая невнимательность -преписывать надо внимательно 
Последний раз редактировалось Chili 08 дек 2017, 21:34, всего редактировалось 1 раз.
-
АндрейА
- Кандидат
- Сообщения: 86
- Зарегистрирован: 10 апр 2016, 23:01
- Репутация: 11
- Настоящее имя: Андрей
- Контактная информация:
Re: Мини токарный станок с ЧПУ
Верно, спасибо!!!netraider писал(а):L=2*√((R²-(R-h)²)АндрейА писал(а):Я правильно привел ?
h=R-√(R²-L²/4)
√(R²-L²/4)=R-h
R²-L²/4=(R-h)²
L²/4=R²-(R-h)²
L²=(R²-(R-h)²)/4 <- здесь не делить на 4 надо, а умножать
Или скобки рскрыть, двойку под корень утащить - получится как у nkp
-
АндрейА
- Кандидат
- Сообщения: 86
- Зарегистрирован: 10 апр 2016, 23:01
- Репутация: 11
- Настоящее имя: Андрей
- Контактная информация:
Re: Мини токарный станок с ЧПУ
Может кому нужна будет линейная интерполяция:
возвращает вторую координату на прямой
float linearInterpolation(float a1,float a2,float b1,float b2,float b)// reurn A
{
if (a1!=a2&&b1!=b2)
{
return((b-b1)/(b2-b1)*(a2-a1)+a1);
}
return a1;
}
возвращает вторую координату на прямой
float linearInterpolation(float a1,float a2,float b1,float b2,float b)// reurn A
{
if (a1!=a2&&b1!=b2)
{
return((b-b1)/(b2-b1)*(a2-a1)+a1);
}
return a1;
}
- AndyBig
- Мастер
- Сообщения: 3971
- Зарегистрирован: 07 мар 2014, 04:01
- Репутация: 1121
- Откуда: юг России
- Контактная информация:
Re: Мини токарный станок с ЧПУ
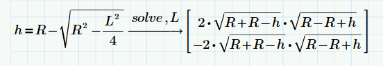
Маткад вот так преобразует:АндрейА писал(а):как привести к виду L=...................
-
sidor094
- Мастер
- Сообщения: 826
- Зарегистрирован: 20 фев 2014, 09:13
- Репутация: 81
- Настоящее имя: Сергей
- Откуда: Москва
- Контактная информация:
Re: Мини токарный станок с ЧПУ
L=(SQRT(R^2-(R-H)^2))*2