Inkscape Gcodetools plug-in English support forum

cnc-club.ru for English speaking users

What function should we develope next?

Можно выбрать до 5 вариантов ответа

 
 
Результаты голосования

Аватара пользователя
Nick
Мастер
Сообщения: 22776
Зарегистрирован: 23 ноя 2009, 16:45
Репутация: 1735
Заслуга: Developer
Откуда: Gatchina, Saint-Petersburg distr., Russia
Контактная информация:

Inkscape Gcodetools plug-in English support forum

Сообщение Nick »

Generated Gcode in EMC2 (1355792 просмотра) <a class='original' href='./download/file.php?id=508&mode=view' target=_blank>Загрузить оригинал (21.99 КБ)</a>
Generated Gcode in EMC2
TypeExtension of vector
graphics editor Inkscape
DeveloperGcodetools develop team
Written inPython
OSCross-Platform (Windows, Linux, MacOS)
Version1.6.03
LicenseGNU GPL
Downloads7800+

Gcodetools

Gcodetools is a plug-in for Inkscape. It prepares and converts paths from Inkscape to Gcode, using biarc interpolation.
This article is unfinished. You can help cnc-club expanding it.
Screenshots and photos are needed. Please post them at this thread.
Features (для просмотра содержимого нажмите на ссылку)

Features

Preview of the generated Gcode in EMC (1358716 просмотров) <a class='original' href='./download/file.php?id=130&mode=view' target=_blank>Загрузить оригинал (154.76 КБ)</a>
Preview of the generated Gcode in EMC
Gcodetools area pocketing (1344819 просмотров) <a class='original' href='./download/file.php?id=772&mode=view' target=_blank>Загрузить оригинал (147.75 КБ)</a>
Gcodetools area pocketing
Gcodetools lathe (1351140 просмотров) <a class='original' href='./download/file.php?id=642&mode=view' target=_blank>Загрузить оригинал (21.98 КБ)</a>
Gcodetools lathe
Gcodetools engraving by Rene (1351305 просмотров) <a class='original' href='./download/file.php?id=631&mode=view' target=_blank>Загрузить оригинал (233.84 КБ)</a>
Gcodetools engraving by Rene
Bears by Durachko (1286763 просмотра) <a class='original' href='./download/file.php?id=5429&mode=view' target=_blank>Загрузить оригинал (89.93 КБ)</a>
Bears by Durachko
Export to Gcode
  • Export paths to Gcode
  • Using circular (biarc approximation) or straight line interpolation
  • Automatic path subdivision to reach defined tolerance
  • Multiply tool processing
  • Export Gcode in parametric of flat form
  • Including personal headers and footers
  • Choosing units
  • Multi-pass processing
  • Numeric suffix is added to generated files to avoid overwriting
Lathe Gcode
  • Compute trajectories for lathe
  • Fine cut
  • Define fine cut's depth
  • Define fine rounds
  • Two different computation functions for fine cut
  • Standard axis remapping

Path's area processing
  • Building area paths
  • Area paths could be modified
Engraving
  • Building trajectory according to the cutter's shape
  • Defining different cutter's shapes
Tool's library
  • Defining different tool's parameters (diameter, feed, depth step, penetration feed, personal Gcode before/after each path, cutters shape, personal tool's changing Gcode)
  • Tools can be managed by Inkscape's standard procedures (copy, delete, assigned to different layer)
  • Multiply tools processing
Orientation system
  • Applying scale along any axis
  • Apply rotate in the ХY plane
  • Apply translation along any axis
  • Apply transforms according to arbitrary points
Post-processor
  • You can create custom post-processor by writing down the commands or choose from the list of default post-processors
  • Scale and offset Gcode
  • Gcode commands remapping
  • Parameterize Gcode
  • Round floating point values to specified precision
Verifying tools for the scene
  • Select and remove small paths (area artefacts)
  • Tool's alignment check
  • Cutting order check
Plotter cutting
  • Export to Gcode for plotter with tangential knife. Forth axis A is knife's rotation.
Install (для просмотра содержимого нажмите на ссылку)

Install

Windows
Unpack and copy all the files to the following directory Program Files\Inkscape\share\extensions\ and restart inkscape
Linux
Unpack and copy all the files to the following directory /usr/share/inkscape/extensions/ and restart inkscape
Screenshots (для просмотра содержимого нажмите на ссылку)

Screenshots

Gcodetools plug-in tutorial (2600*1300 px png ~ 700Kb) (1358719 просмотров) <a class='original' href='./download/file.php?id=127&mode=view' target=_blank>Загрузить оригинал (752.7 КБ)</a>
Gcodetools plug-in tutorial (2600*1300 px png ~ 700Kb)
Curve to Gcode result (1358725 просмотров) <a class='original' href='./download/file.php?id=103&mode=view' target=_blank>Загрузить оригинал (1023.52 КБ)</a>
Curve to Gcode result
Preview of the generated Gcode in EMC (1358716 просмотров) <a class='original' href='./download/file.php?id=130&mode=view' target=_blank>Загрузить оригинал (154.76 КБ)</a>
Preview of the generated Gcode in EMC
Get latest version (для просмотра содержимого нажмите на ссылку)

Get latest versions

Latest stable version Gcodetools 1.7
gcodetools.tar.gz
Gcodetools 1.7
(75.25 КБ) 103133 скачивания
Older versions(ver 1.5)
gcodetools-1.6.tar.gz
Gcodetools 1.6
(56.6 КБ) 15526 скачиваний
(ver 1.5)
gcodetools.tar.gz
Gcodetools 1.5
(21.32 КБ) 11067 скачиваний
(ver 1.4)
gcodetools.tar.gz
(14.72 КБ) 27860 скачиваний
(ver 1.2)
extensions.tar.gz
(9.01 КБ) 10874 скачивания

Dev-version

You can try the newest development version by getting it from github repository https://github.com/cnc-club/gcodetools via web interface or using git clone git@github.com:cnc-club/gcodetools.git .
You'll need to run python create_inx.py to create inx files. After that install procedure is the same with the stable version.

Translations

Gcodetools is included into Inkscape v 0.49 so it will have native translations as other Inkscape's extensions. Until it is released you can use some self made translation packs:
Credits (для просмотра содержимого нажмите на ссылку)

Credits

Developers:
  • Nick Drobchenko (Nick)
  • Vladimir Kalyaev (Dormouse)
  • Henry Nicolas (Alfcnc)
  • Chris Lusby Taylor (ChrisInNewbury)
Translators:
  • John Brooker (greybeard from cnczone.com)
Develop (для просмотра содержимого нажмите на ссылку)

Develop

At the moment following features are being developed:
  • Plasma cutter extension
  • Turning lathe extension
  • Plotter extension
You can help us improve Gcodetools in several ways
  • Writing a report / bug report
  • Improve help and manuals
  • Publish G-codes / SVGs / other code
  • Publish photos / videos
  • Make a bug report
  • Help develop new features
  • Suggest a new feature
Tested on (для просмотра содержимого нажмите на ссылку)

Tested on

Linux
Ubuntu 9.10 14.04 + inkscape 0.48 (older Gcodetools versions also work with 0.46, 0.47)
Windows
Windows XP, Windows Vista, Windows 7 + inkscape 0.46, inkscape 0.47
MacOS
There are some reports on successful work on MacOs.
aguseguedre
Новичок
Сообщения: 26
Зарегистрирован: 13 апр 2011, 23:11
Репутация: 0
Контактная информация:

Re: Inkscape Gcodetools plug-in English support forum

Сообщение aguseguedre »

Hello all,
2. It's center lies on the normal to the curve at point G1, we do not know where G point is but know about the normal.

You have all reason Nick it is very difficult to found the G point ( in the woman) Sorry it is joke.

In relation with this :
1,2) C1 = A1 + t1*n1 = G1 + t2*n2 // this gives two equations because all points and normals are defined by two parametric functions x(t) and y(t)

I am a little lost. I am not very clever in maths . I do not know what is t1, or n1

Regards.
Аватара пользователя
Nick
Мастер
Сообщения: 22776
Зарегистрирован: 23 ноя 2009, 16:45
Репутация: 1735
Заслуга: Developer
Откуда: Gatchina, Saint-Petersburg distr., Russia
Контактная информация:

Re: Inkscape Gcodetools plug-in English support forum

Сообщение Nick »

Yeah, when we've finally found the G spot using Newtons method.... :)

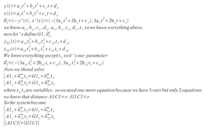
1,2) n1 - is a normal vector at point A1, n2 normal at point G1. So we can define line that goes through A1 and is parallel to n1 as A1+t1*n1 where t1 is a variable. Similar with the second normal G1+t1*n1.
So to find intersection of these lines we have to solve the equation A1+t1*n1 = G1+t2*n2.

here's some nice formatted math:
engraving formulas.png (10160 просмотров) <a class='original' href='./download/file.php?id=1449&mode=view' target=_blank>Загрузить оригинал (85.93 КБ)</a>
oofice formula format (для просмотра содержимого нажмите на ссылку)
y(t) = a_y t^3 + b_y t^2 +c_y t + d_y
newline
x(t) = a_x t^3 + b_x t^2 +c_x t + d_x
newline
widevec {n_1} = (-y'(t),x'(t)) = (-(3a_y t^2 + 2b_y t + c_y), 3a_x t^2 + 2b_x t + c_x)
newline
we know a_y, b_y, c_y, d_y, a_x, b_x, c_x, d_x, t, so we know everything above.
newline
now let's define G1 , widevec {n_2}
newline
y_G1(t) = a_y1 t_1^3 + b_y1 t_1^2 +c_y1 t_1 + d_y1
newline
x_G1(t) = a_x1 t_1^3 + b_x1 t_1^2 +c_x1 t_1 + d_x1
newline
We know everything except t_1, so it's our parameter
newline
widevec {n_2} = (-(3a_y1 t_1^2 + 2b_y1 t_1 + c_y1), 3a_x1 t_1^2 + 2b_x1 t_1 + c_x1)
newline

Now we shoud solve newline

left lbrace stack{
A1_x + widevec{n_1}_x t_2 = G1_x + widevec {n_2}_x t_3
#
A1_y + widevec{n_1}_y t_2 = G1_y + widevec {n_2}_y t_3
} right none
newline
where t_2, t_3 are variables, so we need one more equation because we have 3 vars but only 2 equations
newline
we know that distance A1 C1 = r, G1 C1 = r
newline
So the system become
newline
left lbrace stack{
A1_x + widevec{n_1}_x t_2 = G1_x + widevec {n_2}_x t_3
#
A1_y + widevec{n_1}_y t_2 = G1_y + widevec {n_2}_y t_3
#
lline A1 C1 rline =lline G1 C1 rline
} right none
ChrisInNewbury
Новичок
Сообщения: 20
Зарегистрирован: 19 апр 2011, 02:32
Репутация: 0
Откуда: Newbury, Berkshire, England
Контактная информация:

Re: Inkscape Gcodetools plug-in English support forum

Сообщение ChrisInNewbury »

Hi Nick,
The problem is, this algorithm seems to be very unstable. I notice in the log file that it often takes up to 9 iterations. Newton Raphson is usually much quicker to converge than that, so I think there's something wrong. I just tried commenting it out, so that it isn't called (!), but I left in the code that ignores the normals (except for the normal at the point being considered) and considers just the position of neighbouring nodes. It worked much better. And it is so much faster that you can afford to subdivide the Beziers before you start.
I've just found that there is a bug in the code that calculates inward-pointing angles. I'll let you know when I've solved it.
Also, I don't see why you skip over t=0.5 when you do (0,0.25,0.75,1) so I put it in.
See my attachment for examples.
Best wishes
Chris
Вложения
EngravingTestCLT1.svg
(2.42 МБ) 1201 скачивание
Аватара пользователя
Nick
Мастер
Сообщения: 22776
Зарегистрирован: 23 ноя 2009, 16:45
Репутация: 1735
Заслуга: Developer
Откуда: Gatchina, Saint-Petersburg distr., Russia
Контактная информация:

Re: Inkscape Gcodetools plug-in English support forum

Сообщение Nick »

May be you are right and 9 iteration are to much, but I do not know how to simplify it. And you must take into account that we are solving not one equation but a system with 3 independent variables.


The problem with your path caused by small handle that is headed straight to the bottom. So the normal at that point headed to the left. So we've got a very small "loop".
engraving bug.png
engraving bug.png (8.03 КБ) 10145 просмотров
We've used t from {0,0.25,0.75,1} because we replace each segment with only one segment. and we can easily calculate all parameters of a segment that will go through 4 points having defined t.
It's not quite right solution, it'll be better to create a path that goes trough a number of points without definition of parameter t for them, but I do not have good algorithm for that. More over it probably can be impossible to put a path consists of one segment exactly through 5 or more points...
ChrisInNewbury
Новичок
Сообщения: 20
Зарегистрирован: 19 апр 2011, 02:32
Репутация: 0
Откуда: Newbury, Berkshire, England
Контактная информация:

Re: Inkscape Gcodetools plug-in English support forum

Сообщение ChrisInNewbury »

Hi Nick
Thanks for that. I hadn't spotted the tiny handle. It must have been very small. I did try to find it. I do feel that Inkscape should make it easier to see and grab tiny, or even zero length handles. Perhaps I just don't have the full skills yet.

What I'm saying about your equations in three unknown t values to find the circle tangential to a Bezier is that I don't think that is the best approach. In my experience you're better off recursively halving the Beziers using de Casteljau into tiny (straight) line segments and then finding which of their many nodes forces the smallest circle. Both dividing straight lines and Beziers and finding the radius of the circle through those points are very fast operations compared with solving the cubics by Newton Raphson. One speed-up is that you can ignore points outside the bounding box of the currently smallest circle found so far. So you can speedily analyze many more points per second than Newton's method.
And, my guess is that this speed would allow more subdivisions, so giving more accuracy, even though, mathematically, finding a circle tangential to a Bezier is a more satisfying approach.
Anyway, I'll work on it and report back if I get worthwhile results. Thank you very much for all your help.

By the way, it's a pity there is no Gcode command to move in a Bezier path. Circular arcs in one of only three planes are very limiting! I use Mach3 and am thinking of adding a macro to implement Beziers.
I notice that in the Engraving Gcode sometimes Z changes faster than sqrt(x**2+y**2) which is impossible for a w conical tool, so something's going wrong.
For instance, I have:
G02 X141.455908 Y203.317488 Z-8.636992 I1.747766 J-0.502778
G02 X143.673153 Y203.355815 Z-24.151282 I1.436369 J-18.941299
At the end of the second line, the Z value implies that the circle at Z=0 has grown by 16mm in radius, yet X has only moved 2mm, so wherever the previous move was touching the path, it will have been totally machined away by the second line. I hope my explanation is clear. Z can never change faster than the XY plane movement.

Regards
Chris
Аватара пользователя
Nick
Мастер
Сообщения: 22776
Зарегистрирован: 23 ноя 2009, 16:45
Репутация: 1735
Заслуга: Developer
Откуда: Gatchina, Saint-Petersburg distr., Russia
Контактная информация:

Re: Inkscape Gcodetools plug-in English support forum

Сообщение Nick »

To find small straight lines or points I think it could be faster to get them from to get them form x(t) and y(t) which are calculated for the segment.

How you will find R having only two points?


About Z speed: Z speed mostly relies to angle of the corner, bigger angle causes faster Z speed. For example here two different angles which will give different Z speed:
cnc engraving zspeed.png (10142 просмотра) <a class='original' href='./download/file.php?id=1453&mode=view' target=_blank>Загрузить оригинал (20.29 КБ)</a>

There's a reason why Bezier is not implemented in the machine controllers: it's hard to calculate all it's parameters in realtime. You can calculate lengths of arcs and line using fixed formulas, but length of the bezier curve's segment can be calculated only using numeral methods. In fact EMC2 has suppurt for Bezier curves, but it does the same work as Gcodetools - it approximises it by biarcs and then works with it as usual.
ChrisInNewbury
Новичок
Сообщения: 20
Зарегистрирован: 19 апр 2011, 02:32
Репутация: 0
Откуда: Newbury, Berkshire, England
Контактная информация:

Re: Inkscape Gcodetools plug-in English support forum

Сообщение ChrisInNewbury »

Hi Nick,
Using the parametric cubics x(t) and y(t) is surely far slower than decomposing the Bezier using de Casteljau.
The entire de Casteljau code to split a Bezier abcd into a,b1,c1,d1a2 and d1a2,b2,c2,d is this:
Xb1=(Xa+Xb)/2
XX=(Xb+Xc)/2
Xc2=(Xc+Xd)/2
Xc1=(Xb1+XX)/2
Xb2=(XX+Xc2)/2
Xd1a2=(Xc1+Xb2)/2
Yb1=(Ya+Yb)/2
YY=(Yb+Yc)/2
Yc2=(Yc+Yd)/2
Yc1=(Yb1+YY)/2
Yb2=(YY+Yc2)/2
Yd1a2=(Yc1+Yb2)/2
#
# This process can be performed iteratively for a fixed depth or until some error
# expression is acceptably small (such as the cross products ab x ad and cd x ad)
#Each division reduces the distance of the handles from the curve by a factor of
# the order of 4, gives the exact position and slope at t=0.5 (unless it's a cusp)

I am confident that a few applications of this, followed by testing for the smallest
circle tangent to the path at one point and passing through any other point, will
be faster and more accurate than the cubic approach.

The algorithm for finding the circle through (X1+Xp),(Y1+Yp), tangent to the point X1,Y1
where the normalized normal is Nx,Ny is already in GCodetools and I put it in the attachment
to a previous post. From memory it is
r=(Xp**2+Yp**2)/2(Ny*Xp-Nx*Yp)
Xc=X1+r*Nx #Coordinates of centre
Yc=Y1+r*Ny

If r is positive and less than the previous smallest known r, use it. Also, use Xc-r<Xq<Xc+r and
Yc-r<Y1+Yq<Yc+r as quick tests that any point Xq,Yq might force a smaller circle. Don't even bother
calculating its r if it's outside this bounding box. It might even be worth sorting a list of all point
coordinates into, say, ascending X order, so you can ignore most of them as soon as a small
bounding box is established. Don't know if it's worth the effort, though.

I'll try these ideas out and report back
Chris

PS I just found a bug that explains a lot of the problems with Engraving:
The line
d >= self.options.engraving_max_dist*2
should read
d >= self.options.engraving_max_dist**2 #if max_dist is tool diameter
or
d >= self.options.engraving_max_dist**2/4 #if max_dist is tool radius

Is engraving_max_dist the tool radius or diameter?
It should surely be the radius - this is assumed at several places in the code, such as:
if p[2]<self.options.engraving_max_dist
but diameter is mentioned in the documentation:
help="Distanse from original path where engraving is not needed (usualy it's cutting tool diameter)")
Аватара пользователя
Nick
Мастер
Сообщения: 22776
Зарегистрирован: 23 ноя 2009, 16:45
Репутация: 1735
Заслуга: Developer
Откуда: Gatchina, Saint-Petersburg distr., Russia
Контактная информация:

Re: Inkscape Gcodetools plug-in English support forum

Сообщение Nick »

Hmmm it's a lot of operations, assigns and divisions in Casteljau. Using cubic equation it's only 8 muls and 6 adds...
x = ax*t^3 + bx*t*t + cx*t + dx
y = ay*t^3 + by*t*t + cy*t + dy

hmmmm... need to be tested...

I'll got to check the bug...
Аватара пользователя
Nick
Мастер
Сообщения: 22776
Зарегистрирован: 23 ноя 2009, 16:45
Репутация: 1735
Заслуга: Developer
Откуда: Gatchina, Saint-Petersburg distr., Russia
Контактная информация:

Re: Inkscape Gcodetools plug-in English support forum

Сообщение Nick »

Код: Выделить всё

def test(Xa,Xb,Xc,Xd,Ya,Yb,Yc,Yd):
	Xb1=(Xa+Xb)/2
	XX=(Xb+Xc)/2
	Xc2=(Xc+Xd)/2
	Xc1=(Xb1+XX)/2
	Xb2=(XX+Xc2)/2
	Xd1a2=(Xc1+Xb2)/2
	Yb1=(Ya+Yb)/2
	YY=(Yb+Yc)/2
	Yc2=(Yc+Yd)/2
	Yc1=(Yb1+YY)/2
	Yb2=(YY+Yc2)/2
	Yd1a2=(Yc1+Yb2)/2		
	return XX,YY
	
def test1(ax,bx,cx,dx,ay,by,cy,dy,t):
	x = ax*t**3 + bx*t*t + cx*t + dx
	y = ay*t**3 + by*t*t + cy*t + dy
	return x,y

def test2(ax,bx,cx,dx,ay,by,cy,dy,t):
	x = ((ax*t+ bx)*t +cx)*t+dx 
	y = ((ay*t+by)*t+cy)*t+dy 
	return x,y
	
import random
ax,bx,cx,dx,ay,by,cy,dy = [random.random()*1000 for i in range(8)]

if __name__=='__main__':
	from timeit import Timer
	t = Timer("test(ax,bx,cx,dx,ay,by,cy,dy)", "from __main__ import test, ax,bx,cx,dx,ay,by,cy,dy")
	f = t.timeit(number=100000)
	print "%s sec for 100 000 pass =  %s ns for each pass" % (f,1000000*f/100000)
	t = Timer("test1(ax,bx,cx,dx,ay,by,cy,dy,.5)", "from __main__ import test1,ax,bx,cx,dx,ay,by,cy,dy")
	f = t.timeit(number=100000)
	print "%s sec for 100 000 pass =  %s ns for each pass" % (f,1000000*f/100000)
	t = Timer("test2(ax,bx,cx,dx,ay,by,cy,dy,.5)", "from __main__ import test2,ax,bx,cx,dx,ay,by,cy,dy")
	f = t.timeit(number=100000)
	print "%s sec for 100 000 pass =  %s ns for each pass" % (f,1000000*f/100000)
And results:
0.442977905273 sec for 100 000 pass = 4.42977905273 us for each pass
0.348218917847 sec for 100 000 pass = 3.48218917847 us for each pass
0.26859498024 sec for 100 000 pass = 2.6859498024 us for each pass
aguseguedre
Новичок
Сообщения: 26
Зарегистрирован: 13 апр 2011, 23:11
Репутация: 0
Контактная информация:

Re: Inkscape Gcodetools plug-in English support forum

Сообщение aguseguedre »

Hello Nick,

I do not understand anything but for curiosity which is the better way parametric cubic or casteljau ?

In other way how can I discharge Gcodetools-dev ? I have tried this you have posted in area topic
To install dev version:
1. Get the files from http://launchpad.net/gcodetools ( I have not found any file ) or by bazaar "bzr branch lp:gcodetools" ( I SEE THE FILES BUT i do not know how to dowload )
2. Run "python create_inx.py"
3. Copy all files except create_inx.py into Inkscape's extensions directory. There should not be any overwrites because all files in the dev version have "-dev" suffix.

Regards.
Аватара пользователя
Nick
Мастер
Сообщения: 22776
Зарегистрирован: 23 ноя 2009, 16:45
Репутация: 1735
Заслуга: Developer
Откуда: Gatchina, Saint-Petersburg distr., Russia
Контактная информация:

Re: Inkscape Gcodetools plug-in English support forum

Сообщение Nick »

If you have Bazaar installed, run "bzr branch lp:gcodetools" and it will download the files from the bazaar on launchpad. a new directory will be created and all the files should be in it.
To update the files if there are any apdates in the stream run "bzr pull lp:gcodetools" in the gcodetools directory.

Or you can download them here:
http://bazaar.launchpad.net/~gcodetools ... lope/files
aguseguedre
Новичок
Сообщения: 26
Зарегистрирован: 13 апр 2011, 23:11
Репутация: 0
Контактная информация:

Re: Inkscape Gcodetools plug-in English support forum

Сообщение aguseguedre »

Hello Nick,

Thanks for your e-mail.

I yet have the GcodeTools -dev
I have not copy the files DXf_input.inx and Dxf_input.py in inkscape extension because these are yet there is ok?
I have play a little with Fill area and I like too much . :cheesy: :cheesy:
A suggestion It is not a very big window all in one ? I read a parameter I move with the mouse the window to set this and when I arrive I forgot what I am doing :? :?

Another thing , when I go to paths to Gcode some error message appears:

"Warning there are some paths in the roots of the document but not in any layer using bottom most layer for them"

The paths appears in red very up in the screen not in the document. I am doing something wrong?

Regards.
Аватара пользователя
Nick
Мастер
Сообщения: 22776
Зарегистрирован: 23 ноя 2009, 16:45
Репутация: 1735
Заслуга: Developer
Откуда: Gatchina, Saint-Petersburg distr., Russia
Контактная информация:

Re: Inkscape Gcodetools plug-in English support forum

Сообщение Nick »

Do not use All in one :).
Before coping files do not forget to run python create_inx.py to create inx-files. Then you'll have a submenu Gcodetools-dev

That warning warns you that there are some paths in the root of the document and not in any layer. You can see it in the status bar when you select the path.
Paths could get into the root of the document while processing them with Gcodetools. If it happens so please write me about it - probably it's a bug.
aguseguedre писал(а):Hello Nick,
I do not understand anything but for curiosity which is the better way parametric cubic or casteljau ?
cubic in form is the fastest:
x = ((ax*t+ bx)*t +cx)*t+dx
y = ((ay*t+by)*t+cy)*t+dy
it's only 6 muls and 6 adds.
aguseguedre
Новичок
Сообщения: 26
Зарегистрирован: 13 апр 2011, 23:11
Репутация: 0
Контактная информация:

Re: Inkscape Gcodetools plug-in English support forum

Сообщение aguseguedre »

Hello Nick,

I ran the file create_inx.py but I do not copied the news files. Now I have Gcodetools-dev with the submenu . But I have the older Gcodetools- dev how can I delete?

In other hand I tried again Paths to Gcode , First I checked in the status bar and I had the "fill area paths" in root and the "M" initial paths in other layer. I select both layers and the warning message still appear. I attach the file.

Regards.
Вложения
initial dev.svg
fill area
(107.61 КБ) 1165 скачиваний
Аватара пользователя
Nick
Мастер
Сообщения: 22776
Зарегистрирован: 23 ноя 2009, 16:45
Репутация: 1735
Заслуга: Developer
Откуда: Gatchina, Saint-Petersburg distr., Russia
Контактная информация:

Re: Inkscape Gcodetools plug-in English support forum

Сообщение Nick »

Thanks for the report!
Gcodetools-dev Revision 197
I've done some changes to area_fill, so it will put new paths to the same layer.
And did some fix to draw_curve and draw_csp functions, so now they add transforms to new paths and they should appear in the correct place despite all transforms of their parent groups.
aguseguedre
Новичок
Сообщения: 26
Зарегистрирован: 13 апр 2011, 23:11
Репутация: 0
Контактная информация:

Re: Inkscape Gcodetools plug-in English support forum

Сообщение aguseguedre »

Hello Nick ,

I tried with the new revision . It seem work but the warning message still appear.

Regards.
Аватара пользователя
Nick
Мастер
Сообщения: 22776
Зарегистрирован: 23 ноя 2009, 16:45
Репутация: 1735
Заслуга: Developer
Откуда: Gatchina, Saint-Petersburg distr., Russia
Контактная информация:

Re: Inkscape Gcodetools plug-in English support forum

Сообщение Nick »

You have to remove those parts that are int the documents root, or put them to any layer Shitp+PageUp/Dowm
cycle s

Re: Inkscape Gcodetools plug-in English support forum

Сообщение cycle s »

gcodetools-dev.py
line 1664
Indentation error: expected indented block

This is the error when trying to run orientation points-dev

I downloaded the files today. Thanks for any help.
Аватара пользователя
Nick
Мастер
Сообщения: 22776
Зарегистрирован: 23 ноя 2009, 16:45
Репутация: 1735
Заслуга: Developer
Откуда: Gatchina, Saint-Petersburg distr., Russia
Контактная информация:

Re: Inkscape Gcodetools plug-in English support forum

Сообщение Nick »

Fixed that. it was a little bug while developing...Thanks for the report!
ChrisInNewbury
Новичок
Сообщения: 20
Зарегистрирован: 19 апр 2011, 02:32
Репутация: 0
Откуда: Newbury, Berkshire, England
Контактная информация:

Re: Inkscape Gcodetools plug-in English support forum

Сообщение ChrisInNewbury »

Hi Nick et al,
I've been quiet here as I wasn't sure you understood what I was proposing. But I've been working hard to improve the engraving function. I now have what I feel sure is a much better function for engraving letters. It works for most shapes but may give unexpected results with some.
Compared with the current released GCodetools, it has the characteristics:
- It treats both internal and external corners in the same way as a human carver, so it does not round corners
- It does not fit a cubic curve to the known toolpath points. Rather, it finds more points, then joins them with straight tool movements.
- Internally, it divides lines and Beziers into a variable number of small sections depending on how curved or long they are, not a fixed 4.
(I use the current number-of-sample-points parameter to control accuracy)
- In my tests, it has been more accurate but faster, despite not using such a sophisticated algorithm for calculating radius.
However, I do not understand, and have largely ignored, the reason for the maximum-distance parameter and for not engraving anywhere where the calculated radius exceed this. It seems to me you want to engrave the entire outline, even if a small tool diameter means you cannot reach the whole interior of the path.
Also, if the maximum-distance parameter is set to greater than the tool diameter (that should be radius, by the way) you display circles that show the theoretical path, which seems irrelevant to me. Why not ask the user to set a bigger tool diameter if they want to see what effect it would have? Can anyone explain to me why you'd want to set a maximum distance bigger than the tool radius?

On an unrelated point, the Z values output for engraving are wrong, it seems. I think the issue is that they are in pixels, not mm, as they seem to be about 3 times too big. But I'm not yet able to read all the regular expression code to understand how it works, so I haven't changed it. The solution I use is to set Z scale to 0.28 or thereabouts. It was this that made me think the code generated was wrong. As I said previously, the change in z (for a 45 degree cone tool) can never exceed the distance moved in x and y. If, for instance, z goes down by 1mm while x and y move only 0.9mm, the tool will entirely erase the previous cut. In the case of engraving, this can never be correct.

Anyway, can you please tell me how best to get my version into the system. I have not yet ventured into the development area. For a taster, I attach a file showing the performance of my code.
Chris
Вложения
InkscapeTest3.svg
(1.53 МБ) 1227 скачиваний
Ответить

Вернуться в «English forum»