Тут вопрос в повороте в вертикальное положение, потому и взял.sima8520 писал(а):мне кажется что переделывать не стОит, проще с нуля сделать. а этот на фрезер советский поставить
По металлу (дубль 3)
- Lafayette
- Мастер
- Сообщения: 3514
- Зарегистрирован: 11 фев 2017, 21:25
- Репутация: 445
- Настоящее имя: Михаил
- Контактная информация:
Re: По металлу (дубль 3)
- inFamous
- Мастер
- Сообщения: 801
- Зарегистрирован: 04 янв 2018, 15:33
- Репутация: 278
- Контактная информация:
Re: По металлу (дубль 3)
насколько я знаю, в промышленных поворотках как раз и используют червякLafayette писал(а):Смущает червячная пара для полноценной точной(насколько это возможно) 4-й оси.sima8520 писал(а):для чего переделки?
- Lafayette
- Мастер
- Сообщения: 3514
- Зарегистрирован: 11 фев 2017, 21:25
- Репутация: 445
- Настоящее имя: Михаил
- Контактная информация:
Re: По металлу (дубль 3)
Ребятки, может кто подсказать, какое количество тарельчатых пружин нужно для затяжки 30 конуса?
Или как подсчитать их усилие и т.д.
Или как подсчитать их усилие и т.д.
-
john1987887
- Мастер
- Сообщения: 3296
- Зарегистрирован: 08 сен 2013, 17:26
- Репутация: 1802
- Контактная информация:
Re: По металлу (дубль 3)
700 кгс надо
Brother TC - 229 http://www.cnc-club.ru/forum/viewtopic. ... 46&t=15250
Brother TC - 225 viewtopic.php?f=146&t=31044
7045 http://www.cnc-club.ru/forum/viewtopic.php?t=6965
токарный http://www.cnc-club.ru/forum/viewtopic. ... 48&t=14096
Brother TC - 225 viewtopic.php?f=146&t=31044
7045 http://www.cnc-club.ru/forum/viewtopic.php?t=6965
токарный http://www.cnc-club.ru/forum/viewtopic. ... 48&t=14096
- Lafayette
- Мастер
- Сообщения: 3514
- Зарегистрирован: 11 фев 2017, 21:25
- Репутация: 445
- Настоящее имя: Михаил
- Контактная информация:
Re: По металлу (дубль 3)
посмотрел у даркстона, так пружины держат 300 а на отжатие нужно 700john1987887 писал(а):700 кгс надо
Как посчитать сколько этих "тарелок" нужно
- niksooon
- Мастер
- Сообщения: 2144
- Зарегистрирован: 23 июн 2014, 23:18
- Репутация: 1207
- Откуда: Кашира
- Контактная информация:
Re: По металлу (дубль 3)
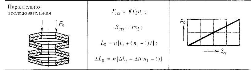
укладываешь две пружины конус в конус(елочкой) -усилие удваивается примерно в два раза , если монтаж последовательно , то удваивается рабочий ход..............
Сделанное правильно — красиво. Если сделанное тебе не нравится — то и работать оно будет хреново. Перевари, пересверли, выпили заново — ну, или хотя бы покрась.
- Lafayette
- Мастер
- Сообщения: 3514
- Зарегистрирован: 11 фев 2017, 21:25
- Репутация: 445
- Настоящее имя: Михаил
- Контактная информация:
Re: По металлу (дубль 3)
это я читал, но как понять сколько нужно штук, чтобы создать эти 300 кгсniksooon писал(а):укладываешь две пружины конус в конус(елочкой) -усилие удваивается примерно в два раза , если монтаж последовательно , то удваивается рабочий ход..............
Вот например 20 x 10.2 x 1.1mm
не реклама
https://aliexpress.ru/item/32998728706. ... QGyiw&mp=1
-
tehnic
- Мастер
- Сообщения: 346
- Зарегистрирован: 02 апр 2018, 23:23
- Репутация: 20
- Настоящее имя: Александр
- Контактная информация:
Re: По металлу (дубль 3)
Считается все по формулам. Только конкретные данные нужны.Lafayette писал(а):это я читал, но как понять сколько нужно штук, чтобы создать эти 300 кгсniksooon писал(а):укладываешь две пружины конус в конус(елочкой) -усилие удваивается примерно в два раза , если монтаж последовательно , то удваивается рабочий ход..............
Вот например 20 x 10.2 x 1.1mm
не реклама
https://aliexpress.ru/item/32998728706. ... QGyiw&mp=1
10 по 3 ((()))((()))((()))((()))((()))
- Lafayette
- Мастер
- Сообщения: 3514
- Зарегистрирован: 11 фев 2017, 21:25
- Репутация: 445
- Настоящее имя: Михаил
- Контактная информация:
Re: По металлу (дубль 3)
Тоже смотрел литературу, но данных не хватает, чтобы посчитать.tehnic писал(а):Считается все по формулам. Только конкретные данные нужны.
Потому и спрашиваю, вроде как на форуме разбирали, может у кого инфа и осталась.
-
tehnic
- Мастер
- Сообщения: 346
- Зарегистрирован: 02 апр 2018, 23:23
- Репутация: 20
- Настоящее имя: Александр
- Контактная информация:
Re: По металлу (дубль 3)
Я же написал (рассчитал) Вам сколько и как располагать.Lafayette писал(а):Тоже смотрел литературу, но данных не хватает, чтобы посчитать.
Потому и спрашиваю, вроде как на форуме разбирали, может у кого инфа и осталась.
- Lafayette
- Мастер
- Сообщения: 3514
- Зарегистрирован: 11 фев 2017, 21:25
- Репутация: 445
- Настоящее имя: Михаил
- Контактная информация:
Re: По металлу (дубль 3)
Спасибо большое!tehnic писал(а):Я же написал (рассчитал) Вам сколько и как располагать.Lafayette писал(а):Тоже смотрел литературу, но данных не хватает, чтобы посчитать.
Потому и спрашиваю, вроде как на форуме разбирали, может у кого инфа и осталась.
- vitzin
- Мастер
- Сообщения: 418
- Зарегистрирован: 27 фев 2020, 14:16
- Репутация: 56
- Настоящее имя: viktor vizin
- Контактная информация:
Re: По металлу (дубль 3)
Там в таблице не все данные,есть талщина тарелки,высота,а рабочая высота,при каторой достигается
нужное усилие,не дано,самого главного то нет в таблице,или не туда сматрю?и такие тарелки с талщиной
в 1,1мм я нашол максимум с усилием в 150 кгс, с талщеной в 1,5 имеют уже 250 кгс,уже почти 300,но не совсем.
Вот прастой пример,талщина тарелки 1.1мм,высота 1.55мм,рабочая высота при каторой достигается нужное усилие 1,21мм,
скажем грубо,для выброса инструмента нужно 5мм свободного хода; 5:(1,21-1.1)=45,45.
округляем до 46,но тарелки не шлефованные,да и запас нужен,не лукавя,берём 50 штук, 50*1.21=60.5мм,высота,при каторой
достигается усилие в 150кгс при наличие 50 тарелок. Виктор.
нужное усилие,не дано,самого главного то нет в таблице,или не туда сматрю?и такие тарелки с талщиной
в 1,1мм я нашол максимум с усилием в 150 кгс, с талщеной в 1,5 имеют уже 250 кгс,уже почти 300,но не совсем.
Вот прастой пример,талщина тарелки 1.1мм,высота 1.55мм,рабочая высота при каторой достигается нужное усилие 1,21мм,
скажем грубо,для выброса инструмента нужно 5мм свободного хода; 5:(1,21-1.1)=45,45.
округляем до 46,но тарелки не шлефованные,да и запас нужен,не лукавя,берём 50 штук, 50*1.21=60.5мм,высота,при каторой
достигается усилие в 150кгс при наличие 50 тарелок. Виктор.
- Lafayette
- Мастер
- Сообщения: 3514
- Зарегистрирован: 11 фев 2017, 21:25
- Репутация: 445
- Настоящее имя: Михаил
- Контактная информация:
Re: По металлу (дубль 3)
чет я совсем запутался
-
tehnic
- Мастер
- Сообщения: 346
- Зарегистрирован: 02 апр 2018, 23:23
- Репутация: 20
- Настоящее имя: Александр
- Контактная информация:
Re: По металлу (дубль 3)
Ваша клинопись режет глаза. Что то Вы не правильно насчитали.vitzin писал(а):Вот прастой пример,талщина тарелки 1.1мм,высота 1.55мм,рабочая высота при каторой достигается нужное усилие 1,21мм,
скажем грубо,для выброса инструмента нужно 5мм свободного хода; 5:(1,21-1.1)=45,45.
округляем до 46,но тарелки не шлефованные,да и запас нужен,не лукавя,берём 50 штук, 50*1.21=60.5мм,высота,при каторой
достигается усилие в 150кгс при наличие 50 тарелок.
- vitzin
- Мастер
- Сообщения: 418
- Зарегистрирован: 27 фев 2020, 14:16
- Репутация: 56
- Настоящее имя: viktor vizin
- Контактная информация:
Re: По металлу (дубль 3)
Поправтье,если ошибсяtehnic писал(а):Ваша клинопись режет глаза. Что то Вы не правильно насчитали.vitzin писал(а):Вот прастой пример,талщина тарелки 1.1мм,высота 1.55мм,рабочая высота при каторой достигается нужное усилие 1,21мм,
скажем грубо,для выброса инструмента нужно 5мм свободного хода; 5:(1,21-1.1)=45,45.
округляем до 46,но тарелки не шлефованные,да и запас нужен,не лукавя,берём 50 штук, 50*1.21=60.5мм,высота,при каторой
достигается усилие в 150кгс при наличие 50 тарелок.
- vitzin
- Мастер
- Сообщения: 418
- Зарегистрирован: 27 фев 2020, 14:16
- Репутация: 56
- Настоящее имя: viktor vizin
- Контактная информация:
Re: По металлу (дубль 3)
объясните доходчево,чтоб глаза не резало
-
tehnic
- Мастер
- Сообщения: 346
- Зарегистрирован: 02 апр 2018, 23:23
- Репутация: 20
- Настоящее имя: Александр
- Контактная информация:
Re: По металлу (дубль 3)
В браузере неправильно написанное слово подчеркивается волнистой волной.vitzin писал(а):объясните доходчево,чтоб глаза не резало
Вы подсчитали только для последовательного пакета, а нужно для комбинированного.vitzin писал(а):Поправтье,если ошибся
- vitzin
- Мастер
- Сообщения: 418
- Зарегистрирован: 27 фев 2020, 14:16
- Репутация: 56
- Настоящее имя: viktor vizin
- Контактная информация:
Re: По металлу (дубль 3)
Делал вот так )()()()(,видел тоже.
Вот так )))((())) не видел,просто комбинированный я даже не брал,по
тому-что о нем не сном,ни духом,спасибо,главно,чтоб Мише помагло.
Вот так )))((())) не видел,просто комбинированный я даже не брал,по
тому-что о нем не сном,ни духом,спасибо,главно,чтоб Мише помагло.
- Lafayette
- Мастер
- Сообщения: 3514
- Зарегистрирован: 11 фев 2017, 21:25
- Репутация: 445
- Настоящее имя: Михаил
- Контактная информация:
Re: По металлу (дубль 3)
Я на пром ОЦ видел ((())) и т.д.vitzin писал(а):Делал вот так )()()()(,видел тоже.
Вот так )))((())) не видел,просто комбинированный я даже не брал,по
тому-что о нем не сном,ни духом,спасибо,главно,чтоб Мише помагло.
- Lafayette
- Мастер
- Сообщения: 3514
- Зарегистрирован: 11 фев 2017, 21:25
- Репутация: 445
- Настоящее имя: Михаил
- Контактная информация:
Re: По металлу (дубль 3)
Хочу китайский свой что покупал с ИСО30, переделать под АТС, правда мороки многовато.