Выбор серв
-
sidor094
- Мастер
- Сообщения: 826
- Зарегистрирован: 20 фев 2014, 09:13
- Репутация: 81
- Настоящее имя: Сергей
- Откуда: Москва
- Контактная информация:
Re: Выбор серв
Вы хотите сказать ,что снизив через редуктор скорость вдвое,мы увеличиваем момент на выходе в четыре раза? Тогда мы получаем вдвое большую энергию на выходе чем на входе.А если в 10 раз?
- PKM
- Почётный участник

- Сообщения: 4263
- Зарегистрирован: 31 мар 2011, 18:11
- Репутация: 705
- Настоящее имя: Андрей
- Откуда: Украина
- Контактная информация:
Re: Выбор серв
Речь о приведенном моменте инерции нагрузки.
- PKM
- Почётный участник

- Сообщения: 4263
- Зарегистрирован: 31 мар 2011, 18:11
- Репутация: 705
- Настоящее имя: Андрей
- Откуда: Украина
- Контактная информация:
Re: Выбор серв
И еще хочу напомнить, что для сервопривода очень важным является соотношение момента инерции нагрузки и ротора.
-
Duhas
- Мастер
- Сообщения: 1961
- Зарегистрирован: 10 окт 2015, 23:25
- Репутация: 285
- Настоящее имя: Андрей
- Откуда: Красноярск
- Контактная информация:
Re: Выбор серв
мой вам совет, если ваш шаблон трещит и вы видите что люди пишут дикие вещи - перечитайте, вполне вероятно что вы просто не так поняли.sidor094 писал(а):Вы хотите сказать ,что снизив через редуктор скорость вдвое,мы увеличиваем момент на выходе в четыре раза? Тогда мы получаем вдвое большую энергию на выходе чем на входе.А если в 10 раз?
-
sidor094
- Мастер
- Сообщения: 826
- Зарегистрирован: 20 фев 2014, 09:13
- Репутация: 81
- Настоящее имя: Сергей
- Откуда: Москва
- Контактная информация:
Re: Выбор серв
Ещё раз перечитал спорное утверждение.
Что я не так понял?
Т.е получается ,что имея момент на валу ШВП 2нм как в первом так и во втором случае время разгона ШВП изменяется.Нагрузка при этом не меняется,та же ШВП. Т. е. время разгона зависит не только от момента ,но и от источника этого момента(просто двигатель,двигатель с редуктором).Это противоречит законом физики.Сколько не приводите момент инерции от вала к редуктору и обратно законы физики нарушить не удастся.Duhas писал(а):мотор у нас может развивать некоторый момент, например, 2Нм. пусть мотор будет мощностью 1кВт. и второй мотор той же мощности, но с моментом номинальным 1Нм, добавив ко второму мотору редуктор 2 к 1 мы получим на выходе редуктора те же 2 Нм, однако! момент инерции (мне показалось что вы не различаете момент инерции и просто момент, если да - сначала изучите вопрос, а то будем долго спорить ) приведенный к валу мотора без редуктора, пусть будет 1 кг·м², тогда момент инерции приведенный к валу мотора с редуктором будет 1/2^2 кг·м², что позволит мотору с редуктором разгонять нагрузку в 2 раза быстрее чем мотор с в два раза большим моментом, но без редуктора.
Что я не так понял?
-
Duhas
- Мастер
- Сообщения: 1961
- Зарегистрирован: 10 окт 2015, 23:25
- Репутация: 285
- Настоящее имя: Андрей
- Откуда: Красноярск
- Контактная информация:
Re: Выбор серв
видимо законы физики. я же вам через равенство кинетических энергий уже расписал все, ссылку дал где все подробно и в общем виде.. Мне правда уже надоело.
- PKM
- Почётный участник

- Сообщения: 4263
- Зарегистрирован: 31 мар 2011, 18:11
- Репутация: 705
- Настоящее имя: Андрей
- Откуда: Украина
- Контактная информация:
Re: Выбор серв
Вообще да, что-то я уже начинаю сомневаться 
Сразу-то о другом была речь.
Похоже таки не разгонит быстрее.
Сразу-то о другом была речь.
Похоже таки не разгонит быстрее.
-
Duhas
- Мастер
- Сообщения: 1961
- Зарегистрирован: 10 окт 2015, 23:25
- Репутация: 285
- Настоящее имя: Андрей
- Откуда: Красноярск
- Контактная информация:
Re: Выбор серв
видимо придется модельку сваять..
для корректности эксперимента прошу помочь с данными на сервы, а именно нужны параметра моторов одной мощности но с разными оборотами и моментами.. в идеале одного производителя. Нужны наборы параметров обороты-момент-момент инерции ротора. На данным момент в синтетическом тесте вариант с редуктором проигрывает из-за того что момент инерции ротора мотора я не меняю, т.к. нет данных, и именно он влияет на динамику системы. Хотя у сеня есть подозрение что Simmechanics не шибко то полноценно моделирует редукцию..
для корректности эксперимента прошу помочь с данными на сервы, а именно нужны параметра моторов одной мощности но с разными оборотами и моментами.. в идеале одного производителя. Нужны наборы параметров обороты-момент-момент инерции ротора. На данным момент в синтетическом тесте вариант с редуктором проигрывает из-за того что момент инерции ротора мотора я не меняю, т.к. нет данных, и именно он влияет на динамику системы. Хотя у сеня есть подозрение что Simmechanics не шибко то полноценно моделирует редукцию..
- Hanter
- Мастер
- Сообщения: 5414
- Зарегистрирован: 27 янв 2012, 14:52
- Репутация: 4338
- Настоящее имя: Алексей
- Откуда: Питер
- Контактная информация:
Re: Выбор серв
Андрей может это поможет:
это вторая сигма яскавы. моторы однотипные. полностью конечно не пересекаются, но очень близкие можно выделит - например 0,85 и 0,9 квт.. вроде все данные есть.
Опыт - это когда на смену вопросам: "Что? Где? Когда? Как? Почему?" Приходит единственный вопрос: "Нахрена?"
==========================================
фрезерная и токарная обработка на станках с чпу.
Резка, гибка, сварка и порошковая окраса.
==========================================
фрезерная и токарная обработка на станках с чпу.
Резка, гибка, сварка и порошковая окраса.
-
Duhas
- Мастер
- Сообщения: 1961
- Зарегистрирован: 10 окт 2015, 23:25
- Репутация: 285
- Настоящее имя: Андрей
- Откуда: Красноярск
- Контактная информация:
Re: Выбор серв
Ну вот как то так насимулировалось:
Низкооборотный - 2000
Высокообротный - 3000
Редукция 1.5
оба движка примерно равны по мощности, разница на графиках за гранью различия 0,85 и 0,9
верхние графики - задание и текущая скорость
по середине ток и момент
внизу - ускорение
Тут был косяк в модели, ниже будут новые данные по другим моторам, а потом верятно и по этим же..
Модельки выглядят вот так.. я по сути "аппроксимировал" это дело моделью коллекторного двигателя, параметры макс тока/момента подобрал сопротивлением обмотки, на точность самой модельки не претендую, однако мы сравниваем разницу во внешних характеристиках и она тут на лицо.
Низкооборотный - 2000
Высокообротный - 3000
Редукция 1.5
оба движка примерно равны по мощности, разница на графиках за гранью различия 0,85 и 0,9
верхние графики - задание и текущая скорость
по середине ток и момент
внизу - ускорение
Тут был косяк в модели, ниже будут новые данные по другим моторам, а потом верятно и по этим же..
Модельки выглядят вот так.. я по сути "аппроксимировал" это дело моделью коллекторного двигателя, параметры макс тока/момента подобрал сопротивлением обмотки, на точность самой модельки не претендую, однако мы сравниваем разницу во внешних характеристиках и она тут на лицо.
Последний раз редактировалось Duhas 09 фев 2017, 23:39, всего редактировалось 3 раза.
- merkwurdigliebe
- Мастер
- Сообщения: 609
- Зарегистрирован: 17 дек 2013, 22:14
- Репутация: 580
- Откуда: București
- Контактная информация:
Re: Выбор серв
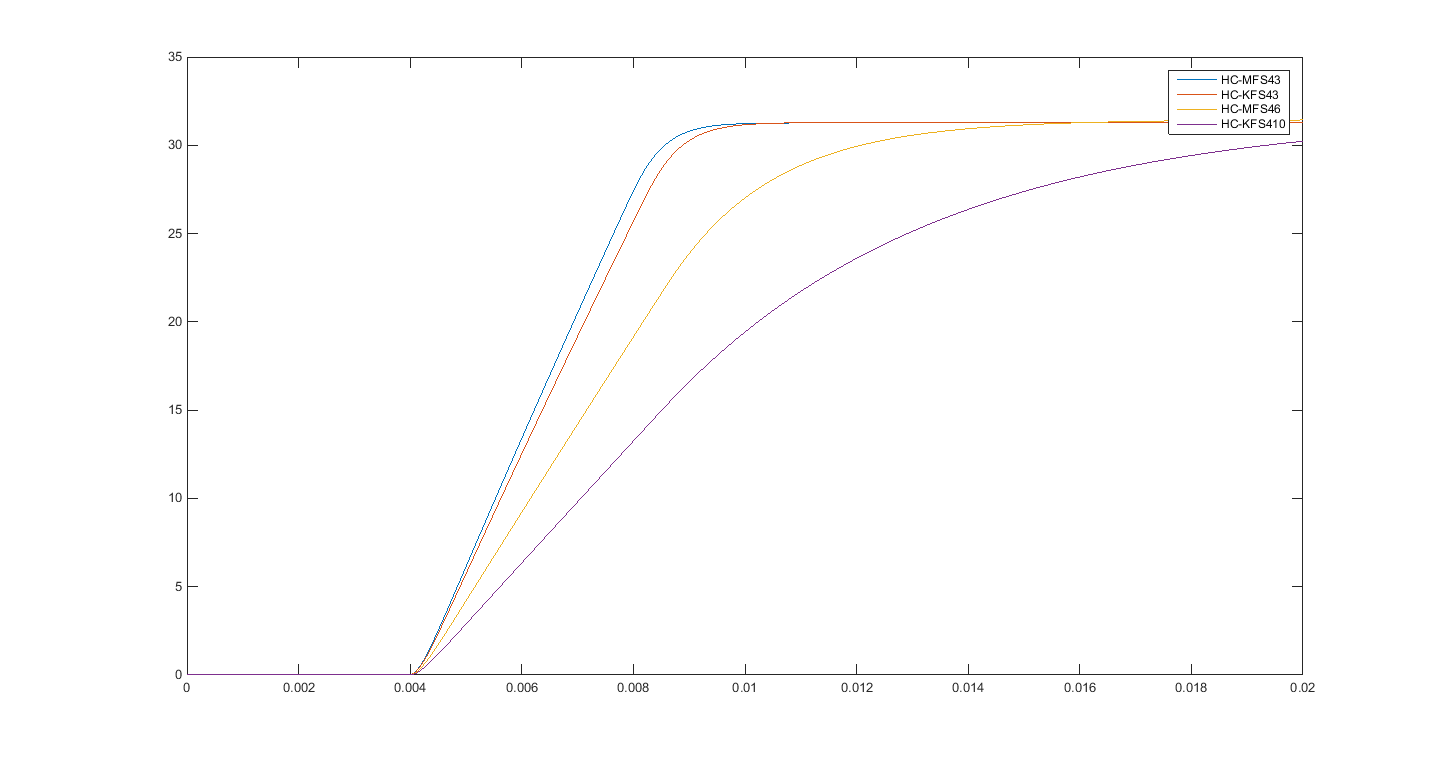
мицубиси, мощность 400ВтDuhas писал(а): нужны параметра моторов одной мощности но с разными оборотами и моментами.. в идеале одного производителя. Нужны наборы параметров обороты-момент-момент инерции ротора.
модель: номинальные обороты 1/min, максимальные обороты 1/min, номинальный момент N*m, максимальный момент N*m, момент инерции 10-4kg*m*m
HC-MFS43: 3000, 4500, 1.3, 3.8, 0.143
HC-KFS43: 3000, 4500, 1.3, 3.8, 0.51
HC-KFS46: 6000, 6000, 0.64, 2.87, 0.64
HC-KFS410: 10000, 10000, 0.38, 1.91, 0.47
- PKM
- Почётный участник

- Сообщения: 4263
- Зарегистрирован: 31 мар 2011, 18:11
- Репутация: 705
- Настоящее имя: Андрей
- Откуда: Украина
- Контактная информация:
Re: Выбор серв
Duhas, ты скажи что получилось. Все три графика написано прямой привод, где же через редуктор?
-
Duhas
- Мастер
- Сообщения: 1961
- Зарегистрирован: 10 окт 2015, 23:25
- Репутация: 285
- Настоящее имя: Андрей
- Откуда: Красноярск
- Контактная информация:
Re: Выбор серв
My bad, описание графика похоже убилось когда догружал еще картинки.. поправил!PKM писал(а):Duhas, ты скажи что получилось. Все три графика написано прямой привод, где же через редуктор?
я убил 2 вечера на это делоmerkwurdigliebe писал(а): HC-MFS43: 3000, 4500, 1.3, 3.8, 0.143
HC-KFS43: 3000, 4500, 1.3, 3.8, 0.51
HC-KFS46: 6000, 6000, 0.64, 2.87, 0.64
HC-KFS410: 10000, 10000, 0.38, 1.91, 0.47
забивать и скринить как оно сейчас реализовано мне правда лень ) на днях постараюсь написать скриптик для автоматизации процесса и выложу 1 картинкой сравнение.
пока что есть пожелания по отображаемой информации? распределение моментов на разгон ротора и нагрузки, например. Ну и какую нагрузки повесим? выше была в 10 раз больше чем ротор тихоходного движка.
- PKM
- Почётный участник

- Сообщения: 4263
- Зарегистрирован: 31 мар 2011, 18:11
- Репутация: 705
- Настоящее имя: Андрей
- Откуда: Украина
- Контактная информация:
Re: Выбор серв
Две верхних картинки все еще одинаковое описаниеDuhas писал(а):My bad, описание графика похоже убилось когда догружал еще картинки.. поправил!
Ну я уже примерно понимаю, что высокооборотный с редуктором разгоняет быстрее всех.
Вообще задача такая. Все моторы 3000 об/мин.
1. 800 Вт
2. 400 Вт
3. 400 Вт через редуктор 1:2
-
Duhas
- Мастер
- Сообщения: 1961
- Зарегистрирован: 10 окт 2015, 23:25
- Репутация: 285
- Настоящее имя: Андрей
- Откуда: Красноярск
- Контактная информация:
Re: Выбор серв
поправил еще раз, это багает форум точно... , борю лень и делаю на митсы.. 800 и 400 сравнивать смысла не много будет, хотя можно, если из скринов на яскавы - конкретные выделите.
ПС на картинки выше не смотрите, там судя по всему была ошибочка..
ПС на картинки выше не смотрите, там судя по всему была ошибочка..
- PKM
- Почётный участник

- Сообщения: 4263
- Зарегистрирован: 31 мар 2011, 18:11
- Репутация: 705
- Настоящее имя: Андрей
- Откуда: Украина
- Контактная информация:
Re: Выбор серв
Лучше свои скриншоты сделаю
-
Duhas
- Мастер
- Сообщения: 1961
- Зарегистрирован: 10 окт 2015, 23:25
- Репутация: 285
- Настоящее имя: Андрей
- Откуда: Красноярск
- Контактная информация:
Re: Выбор серв
не помешает детально описать условия эксперимента,я в фоне буду это дело доводить до ума еще.. пока у нас тут только контур скорости..PKM писал(а):Лучше свои скриншоты сделаю
ну и вот что получилось по параметрам от merkwurdigliebe, не зря я подумал что было все слишком круто в первых графиках
ПС это все классно конечно и полезно в целом, однако без контура положения и конкретных условий работы выбрать тот или иной вариант не выйдет, имхо.
- PKM
- Почётный участник

- Сообщения: 4263
- Зарегистрирован: 31 мар 2011, 18:11
- Репутация: 705
- Настоящее имя: Андрей
- Откуда: Украина
- Контактная информация:
Re: Выбор серв
То есть почему? Можно задаться самым простым вариантом - разгон "изо всех сил", как и сделано...Duhas писал(а): без контура положения и конкретных условий работы выбрать тот или иной вариант не выйдет, имхо
Главное преимущество видится в том, что через редуктор при прочих равных будет меньше приведенный момент инерции, что повышает качество управления - снижает рассогласование. Вот это доказать на моделях будет сложновато.
-
Duhas
- Мастер
- Сообщения: 1961
- Зарегистрирован: 10 окт 2015, 23:25
- Репутация: 285
- Настоящее имя: Андрей
- Откуда: Красноярск
- Контактная информация:
Re: Выбор серв
PKM писал(а): То есть почему? Можно задаться самым простым вариантом - разгон "изо всех сил", как и сделано...
на совсем. на графиках разгон до 300 оборотов на выходе.. что с редуктором что без.
товарищ sidor094 по своему прав, а я приводя пример с тем что будет разгонять в 2 раза быстрее - видимо таки нет )PKM писал(а): Главное преимущество видится в том, что через редуктор при прочих равных будет меньше приведенный момент инерции, что повышает качество управления - снижает рассогласование. Вот это доказать на моделях будет сложновато.
поглядите последние 2 графика, видите разные формы изгиба кривых с редукцией и без при повышении нагрузки..
применяя редуктор и высокооборотный двигатель с низкой инерцией можно получать рост динамики в некоторой области скоростей и падение в другой.
ПС либо я был прав и матлаб не приводит момент инерции через компонент Gears
-
MGG
- Мастер
- Сообщения: 3673
- Зарегистрирован: 08 фев 2016, 16:33
- Репутация: 1010
- Настоящее имя: Манн Геннадий Геннадьевич
- Откуда: Москва
- Контактная информация:
Re: Выбор серв
Заказал сегодня шкивы, на следующей недели будет натурный эксперимент с редукцией 1.6 к 1
http://www.cnc-club.ru/forum/viewtopic. ... 76#p304076 Поставки оборудования для ваших станков
https://www.instagram.com/dtw.moscow/
dtw.moscow@gmail.com
https://www.instagram.com/dtw.moscow/
dtw.moscow@gmail.com